Eurocode 7. Geotechnical design
LIRA-FEM* software supports a variety of national building codes, as well as European standards (Eurocodes) and national annexes to Eurocodes for Ukraine, the Republic of Kazakhstan, and the Republic of Belarus.
Eurocode 7. Geotechnical design
In LIRA-FEM (LIRA-SAPR), analysis of soil settlement with account of consolidation is implemented for the following building codes:
- Eurocode EN 1997-1:2004/2011 Eurocode 7. Geotechnical design. Part 1. General rules;
- SP RK EN 1997-1:2004/2011+NTP Geotechnical design. Part 1. General rules.
General Provisions
Eurocode 7 does not provide clear guidelines for the calculation of foundation settlement. General requirements and recommendations are provided for such calculations. The designer or national regulatory authority is free to choose the method for settlement analysis and allowed values.
In LIRA-FEM, the settlement S consisting of three components is calculated according to EN 1997-1:2004:
|
|
(1) |
where
Ss - total settlement;
S0 - immediate settlement;
S1 - settlement caused by consolidation;
S2 - settlement caused by creep (secondary settlement).
Total settlement may be calculated either in the SOIL system or in the complete analysis when the subgrade moduli C1 and C2 are calculated.
1. Total immediate settlement of the foundation
It is performed by the method of layer-by-layer summation using the linear elastic half-space (Boussinesq problem).
The depth of compressible stratum HC is reached when the following condition σzp = k*σzy is fulfilled, by means of a specified compressible depth factor k.
|
|
(2) |
where
Ei - modulus of elasticity of the i-th layer of soil along the loading path;
Eei - modulus of elasticity of the i-th layer of soil along the unloading path; by default Eei = Ei;
σzp,i - stress in the i-th layer of soil from external load;
σzy,i - stress in the i-th layer from the dead weight of the soil excavated from the pit;
n - number of subsoil layers from the foundation base to the depth of compressible stratum HC.
If the dead weight of the soil at the foundation base level is greater than the average pressure below the base, then the settlement S = 0.8*W3, otherwise the settlement S = 0.8*(W1 + W2).
2. Consolidation settlement according to EN 1997-1:2004
Consolidation settlement is calculated in LIRA-FEM according to SP RK 5.01-102-2013. The calculation method specified in this building code does not conflict with the method described in Eurocode 7.
The settlement for any time t due to consolidation is determined by the formula:
|
|
(3) |
where
h - thickness of the elementary layer;
mS - relative compressibility coefficient;
ρ - pressure acting on the top of the layer;
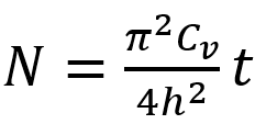
N - value determined by formula:
|
|
(4) |
where
t - the time when the settlements are calculated;
Cv - the soil consolidation coefficient determined by formula:
|
|
(5) |
where kf - filtration coefficient; iw - unit weight of water.
To determine the consolidation settlement of a certain layer of GE (geological element), it is necessary to define the corresponding properties in the Soil properties dialog box, on the tab Consolidation tab.
- GE Number. This number should correspond to the GE number in the main 'Soil properties' table.
- Relative compressibility coefficient mv.
- Filtration coefficient kf.
- Time when the total settlement of the base is determined (in years).
3. Settlement caused by creep (secondary settlement) according to EN 1997-1:2004
Calculation of secondary settlement in LIRA-FEM program is made according to SP RK 5.01-102-2013. The calculation method specified in this building code does not conflict with the method described in Eurocode 7.
Settlement caused by creep is determined by formula:
|
|
(6) |
where
β - coefficient equal to 0.8;
hi - thickness of the i-th layer;
bki - soil creep parameter that depends on additional pressure (pressure from external load) in this layer and is determined after compression tests;
t - time when the settlement is calculated;
te - time when filtration (primary) consolidation is completed.
Soil creep is a consequence of the processes that occur in soils during primary consolidation (soil compaction due to the squeezing of water out of the soil pores (filtration)). Creep is therefore also known as secondary settlement. Soil creep develops after filtration (primary) consolidation is considered to be established (or completed).
To determine the end time te of filtration (primary) consolidation, the following algorithm is used.
In equation (3), the expression in square brackets is called the degree of compaction U:
|
|
(7) |
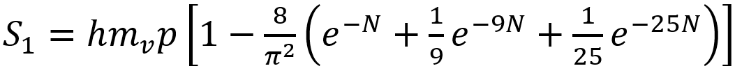
Primary consolidation is considered to be steady when the degree of compaction U is 95% or more. If the value of U=0.95 is substituted into equation (6), then the value of N may be found. In this case, the N will be equal to 2.8. With formula (3), we can determine the time of steady consolidation:
|
|
(8) |
If we substitute N = 2.8 into equation (7), then the steady consolidation time will be equal to:
|
|
(9) |
To determine the creep settlement of a peat layer, it is necessary to define the corresponding properties in the Soil properties dialog box, on the tab Creep tab. In the table of soil properties, define the following parameters:
- GE Number. This number should correspond to the GE number in the main 'Soil properties' table.
- Results of soil compression tests (how the creep parameter depends on pressure):
- Pressure, Р .
- Creep parameter bk.
4. Calculation of subgrade moduli according to EN 1997-1:2004
To calculate the subgrade moduli, the mean values (within the fixed depth of the compressible stratum HC) of the modulus of elasticity Egr and lateral expansion coefficient mgr are used. These values are calculated by formulas:
|
|
(10) |
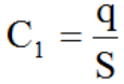
Method 1. Subgrade modulus C1 is calculated according to mean values of modulus of elasticity and Poisson's ratio of soil:
|
|
(11) |
Method 2. Subgrade modulus C1 is calculated according to Winkler method:
|
|
(12) |
where q - the mean pressure under the base of foundation.
Method 3. To determine subgrade modulus C1, the formula of method 1 is used. The difference is that in this case correction factor u to modulus of elasticity of the i-th sublayer is introduced for calculation of mean modulus of elasticity Egr3. This factor varies from u1=1 at the level of foundation base up to un=12 at the level of calculated depth of compressible stratum. It is accepted that factor u varies according to square parabola law:
|
|
(13) |
Moreover, it is also accepted that additional vertical stress is distributed uniformly along the depth. Then
|
|
(14) |
Method 3 is suggested in order to remove limitations of the first two methods. Limitation of method 1 - it is impossible to take into account that modulus of elasticity increases along the depth. It causes too high values of settlements and therefore too low values of subgrade modulus C1. Limitation of method 2 - at the points where applied loads vary significantly, subgrade modulus also varies significantly, but that is not proved by theory. This limitation is also placed even when modulus of elasticity increases along the depth.
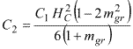
For methods 1 and 3, the subgrade modulus C2 is calculated by formula:
|
|
(15) |
For method 2, the subgrade modulus C2 is not calculated.
Evaluate the software
If you have any doubt, download the Demo version and evaluate the program or contact our Support Team for more details.




