Beam analysis software

LIRA-FEM* is suitable for beam analysis. The software implements linear and non-linear analysis of beams.

Functionality
* The new name of the 'LIRA-SAPR' software LIRA-FEM: Why?

Beam analysis

Ð‘Ð°Ð»Ð¾Ñ‡Ð½Ð°Ñ ÑиÑтема в LIRA-CAD
Beam system in LIRA-CAD (SAPFIR)

LIRA-FEM (LIRA-SAPR) is a software for analysis of various structures of buildings, including beams. The software implements both linear and non-linear analysis of beams. The results of the beam analysis are the following forces: longitudinal force N, shear force Q and bending moment M in all directions (depending on the model type).

stk

Linear processor

Static analysis, FE library, complete dynamic analysis, floor (nodal) response spectrum, seismic, wind pulsation, super-elements. This is included in all default configurations of LIRA-FEM software.

stk

Nonlinear processor

Engineering nonlinearity, physical nonlinearity, structural nonlinearity, geometric nonlinearity, pushover analysis.

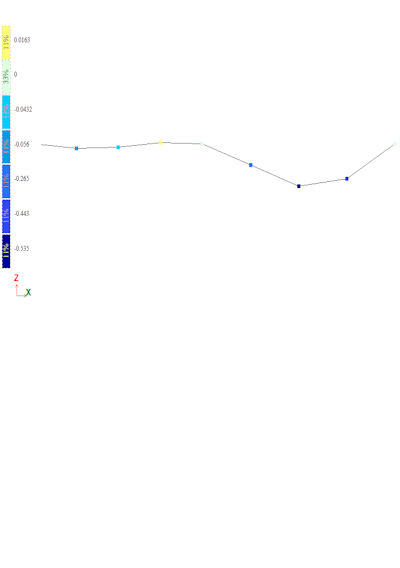
Эпюра My в Ñлементах балочной клетки

My diagram in the elements of beam system

In LIRA-FEM it is possible to perform steel and RC beam design. Software will calculate the forces and perform a section check and selection (for steel beams), or a check of the specified reinforcement or selection of theoretical reinforcement (for reinforced concrete beams).

arm

The analysis of reinforced concrete structure

Analysis of reinforcement (cross-section areas) according to different building codes. ARM is available in all standard configurations of LIRA-FEM.

stk

The analysis of metal structures

Selection of cross-section for metal elements and check of defined sections and joints according to different building codes. Available in all standard configurations of LIRA-FEM.

Evaluate the software

If you have any doubt, download the Demo version and evaluate the program or contact our Support Team for more details.

Demo version or Request online presentation